本站支持IPv6
首页
走进恩平
政务公开
服务窗口
互动交流
工作机构
热词:
恩平市
政务
通知
公告
政策解读
联系方式
当前位置:
首页
>
政务公开
>
重点领域信息公开
>
食品药品安全信息公开
>
注销撤销
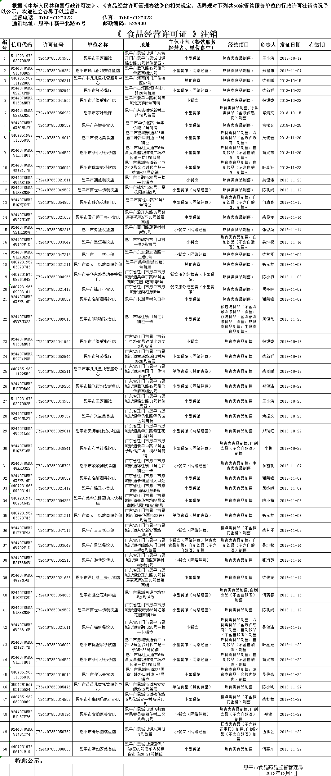
《食品经营许可证》餐饮服务许可情况注销公示20181204
字体:
大
中
小
日期:2018-12-04 17:00 来源:恩平市食品药品监督管理局
分享到:
恩平政务
微信公众号
恩平政务
官方微博
恩平市人民政府公报
电子书
版权所有:恩平市人民政府 主办:恩平市人民政府办公室
站点地图
联系方式
网站标识码:4407850057
ICP备案号:粤ICP备05085446号
粤公网安备 44078502000006号